• Context:

    Ovidiu and Mihaela Teodorescu were asked by newly-established pastor of Maranatha Romanian Church of God, Ionel Burzo, to attend the RTO Church of God conference out-of-state, in his place. Ionel Burzo expressed he was unable to attend due to being preoccupied with familial matters.

    Ovidiu and Mihaela attended the conference, where Andy Dimbi also attended of his own volition. Because Ionel Burzo chose to send Mihaela and Ovidiu Teodorescu to the conference as the formal representatives of the Maranatha Romanian Church of God, in his place, Ionel Burzo approved the church fund be utilized to purchase airfare and lodging for Mihaela and Ovidiu.

    At the time, Abigail Teodorescu, Ovidiu and Mihaela’s daughter, was working at a Hilton hotel property where she had access to assist family and friends in booking discounted rates at hotel properties across the country for their trips. Ovidiu and Mihaela related this to Pastor Ionel Burzo, stating they would pay for lodging, as their daughter had already found a suitable hotel for a very discounted price. Pastor Ionel Burzo refused, and insisted the couple stay at the same grand hotel where all of the Church of God visiting pastors and administration would be staying, and Maranatha Church of God would cover the cost. The couple obliged to his wishes.

    Several months later, after Ovidiu and Mihaela Teodorescu had departed the Maranatha Church of God, due to Pastor Ionel Burzo’s empowerment and appointment of Andy Dimbi as a deacon within the church (regardless of all of the extensive evidence available that he is not a man after God’s Word), Andy Dimbi took it upon himself to forward the Teodorescu family a letter.

    In this letter, Andy Dimbi alleges the family stated they would pay back the funds they utilized to attend the conference (that they were requested to attend in Pastor Ionel Burzo’s absence). This was not true, therefore, Ovidiu Teodorescu contacted Pastor Ionel Burzo to inquire as to whether he was aware and had approved that Andy Dimbi forward this document to him, while utilizing the official COG Romanian Territory Office Seal (which Andy Dimbi did not represent).

    Ovidiu Teodorescu received no reply from Ionel Burzo, though the message revealed it had been read. Ovidiu then contacted Florin Cimpean via telephone (current Administrative Bishop of the COG Romanian Territory Office). Florin Cimpean relayed he was not aware of the letter, and Andy Dimbi did not have authorization to send it, nor did he have authorization to use the official COG RTO seal on the document to make it appear as though it were an official Church of God notice.

    Ovidiu Teodorescu had begun gathering in his living room with his family, where two or three families were gathering along with them to worship and praise the Lord without the influence of the corruption taking place in Nampa. When Andy Dimbi’s tactics failed with regard to this “official letter”, he once again resorted to reaching out to the youth of the community. He began messaging specific individuals within the group of people that were gathering with the Teodorescu family for praise and worship.

    Once of these individuals was Jessica Marcu, daughter of Adrian and Mariana Marcu. Andy Dimbi reached out to her demanding she tell Ovidiu and Mihaela Teodorescu to return the money they had utilized. Frustrated with the ongoing manipulation and corruption, Jessica Marcu replied in a sarcastic manner, questioning when it would ever be enough for him, and asking what Andy was trying to achieve through these tactics.

    Photos of their conversation via Whatsapp have been attached, as well as the “official letter” Andy Dimbi had forwarded to Ovidiu and Mihaela Teodorescu.

  • Friday, December 28, 2018

    Context: Andy Jack Dimbi drafted and sent an email to the Romanian Territory Office of the Church of God, depicting all of the evidence he had collected that outlined the proof of monetary fraud taking place at the leadership level within the Maranatha Romanian Church of God in Nampa, Idaho. The email contains several documents that will be shared in other posts, as well for better clarification. However, as outlined in the email, all evidence was and is still present, proving fraudulent activity was conducted by the leadership of the church including, but not limited to:

    – Pastor Ioan (Ionuc) Retegan

    – Assistant Pastor Beni Iordanescu

    – Treasurer Viorel Botos

    – Board Member Petru Sandor

    – Deacon Dorel Antimie

    – Secretary Sorin Pica

    Ovidiu Teodorescu was, and is, still accused by the local community, with Ioan (Ionuc) Retegan leading their stance, that he delivered all of the incriminating information with regard to their actions to the Romanian Territory Office Church of God. Though Ioan (Ionuc) Retegan later recognized in a verbal conversation that he knows Ovidiu Teodorescu was not involved at any level in unraveling their evil actions, he still maintains this claim before the Bethel Romanian Pentecostal Church (which he formed after being removed as pastor at Maranatha Romanian Church of God) and the local community. Ioan (Ionuc) Retegan has and still continues to use this false claim to defame Ovidiu Teodorescu’s name before the public and his character, as Ovidiu verbally opposed the leadership’s actions, calling them to repentance, as he began to discover much corruption, lying, and manipulation was taking place within the Maranatha Romanian Church of God.

    Though Ovidiu would have been justified in relaying the sinister events that were taking place within the local church, Church of God can confirm by reviewing their records that he did not have any communication with them prior to their finding out about the situation through other avenues. This then proves Ovidiu never had malicious intent towards the Romanian community within Nampa, Idaho, though he did not agree with their actions. Neither did he harbor ill will towards the Maranatha Romanian Church of God’s former leaders, that were removed as a result of their sinful actions, though they continue to publicly utilize him as a scapegoat instead of recognizing their wrongdoings.

    This email was forwarded to Abigail Teodorescu directly from Andy Dimbi on February 3, 2019 (over two months after he initiated the investigation with Church of God), in an effort to show he had all of the necessary proof and was in contact with Church of God, actively working to uncover the corruption within the then Maranatha Church of God board, with the purpose of bringing about justice.

    Though Andy was justified in revealing and bringing to light the incriminating evidence he had gathered on Ioan (Ionuc) Retegan and his peers, his motivation for his actions was not pure. As discovered later, Andy himself was conducting this investigation to enact revenge on the local community who had wronged him in his youth, and was also seeking personal gain through the obtaining of a pastoral/leadership position at Maranatha Church of God, in turn. This was revealed through Andy Dimbi’s actions following the initiation of the internal investigation within Church of God and the dismantling of the leadership, as a result.

    Jacob Retegan, Ioan (Ionuc) Retegan’s eldest son is also aware of this email, and of the truth surrounding these circumstances, as Abigail Teodorescu forwarded and shared this email that she was now in possession of to Jacob Retegan, two months after they were engaged to be married, on February 25, 2020 (as depicted in the pictures of the email thread provided).

    __________________________________

    Situational context:

    The Maranatha Romanian Church of God’s leadership, including, but not limited to:

    – Pastor Ioan: (Ionuc) Retegan

    – Assistant Pastor Beni Iordanescu

    – Treasurer: Viorel Botos

    – Board Member: Petru Sandor

    – Deacon: Dorel Antimie

    – Secretary: Sorin Pica

    participated in a collective scheme to DEFRAUD the Church of God International organization under which they were serving.

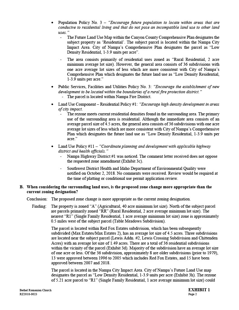
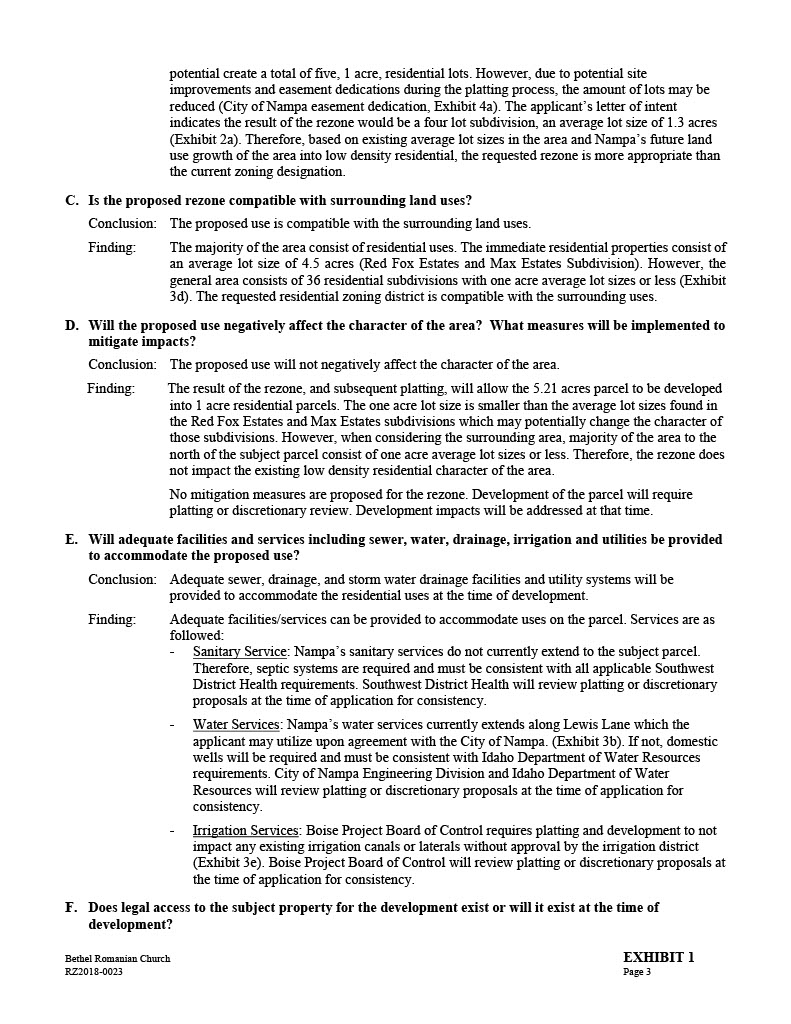
    Maranatha Church of God owned a parcel of approximately five acres of land at the time, that was previously purchased under the former leadership, utilizing a loan from Church of God International. Church of God had assisted them in getting this parcel of land zoned commercially in order for them to be able to utilize it to construct a new church building. No ground was ever moved, and the zoning permits eventually expired after 10 years.

    Several years later, in an effort to break away from under the leadership of Church of God International, while maximizing their profits, the new leadership (Ionuc Retegan and his administration) devised a scheme to defraud the Church of God International organization.

    The individuals aforementioned had previously visited the government of the state of Idaho and opened a new church entity on December 16, 2015 (as documented in the organization’s Articles of Incorporation), under the name of Bethel Romanian Church. They listed the main address of the new entity as the home address of their deacon, Dorel Antimie. They also began depositing the tithe money accumulated within the Maranatha Romanian Church of God building into the Bethel Romanian Church bank fund (which they also subsequently opened).

    Several years later, after funds had accumulated in the Bethel Romanian Church fund, Ioan (Ionuc) Retegan and his peers reached out to Church of God to request permission to sell the property that Maranatha Church of God owned. Church of God approved this endeavor, unaware of their true intentions.

    After listing the parcel of land previously purchased by Maranatha Church of God (the entity they represented, which operates and is owned by the Church of God International umbrella) on the market, they sold the parcel to Bethel Romanian Church (themselves) on March 19, 2018. To achieve this, they listed other members of the congregation as the purchasers (trustees) on the deed to the land: Marius Mateut, Daniel Stanciu, and Mihai Bistriceanu so as to not attract suspicion from Church of God International.

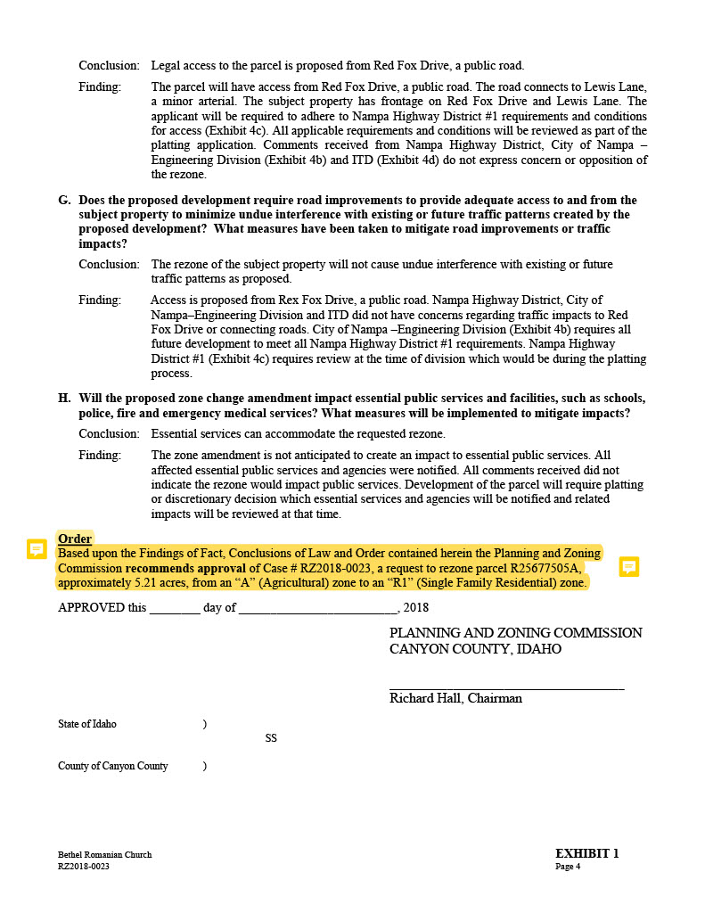
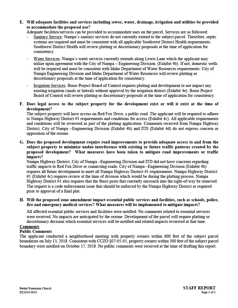
    Bethel Romanian Church then had Viorel Botos, the treasurer of Maranatha Romanian Church of God, file a rezoning request in November 2018, with the state for the parcel of land that had been “purchased” from Maranatha Church of God, with its own tithing money that had been deposited into Bethel Romanian Church over the years.

    Their intention was to rezone the property as residential, sell it as several parcels of land, and utilize the monetary value accumulated to break away from Church of God International, with the purpose of opening an independent location under Bethel Romanian Church (while defrauding Church of God International to achieve all of this).

    They succeeded in their endeavors until Andy Dimbi reported the incriminating evidence to the Romanian Territory Office of Church of God in December 2018. Bishop Tony Lane was also contacted by the title company, who noticed the same individuals were selling the parcel of land to themselves. Andy Dimbi’s email was the “cherry-on-top” of all of the information they had already been given.

    Bishop Tony Lane and RTO Board Member Moise Gaode then paid a visit to Maranatha Church of God to confront and dissolve the leadership and church board for their actions. Ioan (Ionuc) Retegan and his cohorts flagrantly denied any wrongdoing, and stated they were not guilty of the actions they were being accused of. When confronted with the evidence, they changed their tune, beginning to assert that though they committed the actions they were accused of, they did not break the law, and were therefore justified.

    The now former leadership brainwashed the congregation into believing the Teodorescu family (Ovidiu & Mihaela Teodorescu) had worked behind the scenes to report them for their actions that were “justified” (in their eyes) for the Teodorescu family’s personal gain. This began a campaign of hatred, false allegations, misinformation, and slander against the Teodorescu family within the local community, including Ovidiu and Mihaela Teodorescu and all of their children.

    Eventually, these rumors and the slander that was being brought upon the Teodorescu family name broke state boundaries. The false narrative has been carried far and wide, with many believing it to be reality.

    All of the proof regarding the events that transpired, as well as the truth behind what actually took place can be found on this page. This includes but is not limited to all of the official documentation from the state, with exact dates as to when everything took place, proving this chain of events took place.

    It is high time, that once and for all, the truth be brought into the light.

    **For the purpose of elaborating and breaking down the evidence of the fraudulent activity that took place in the house of the Lord, within the Maranatha Romanian Church of God in Nampa, Idaho, the original email text from Andy Dimbi to the RTO COG board has been provided along with the evidence he is referencing. The referenced evidence has also been flagged or highlighted by Andy Dimbi in the documentation attached.**

    ” Exhibit A – Why does Exhibit A, the Pentecostal Union Calendar of 2017, on page 16, have a picture with the so called leaders ‘Beni Iordanescu & Ioan Retegan’ with baptismal candidates and the name ‘ID, Nampa, Maranatha Pentecostal Church’ when this is clearly a COG Church? Why is a COG Church being claimed by another denomination such as the ‘Pentecostal Union’?

    – Why does Exhibit A, the Pentecostal Union Calendar of 2017, on page 26, show on the Right Side ‘Idaho, Nampa, Maranatha Pentecostal Church’ being Affiliated & Associated with the Pentecostal Union when this church is CLEARLY a COG Church?

    – Why does Exhibit A, the Pentecostal Union Calendar of 2017, on page 28, the last page, show a COG Credentialed Minister – Ioan Retegan at a Pentecostal Union Conference meeting (Standing on the left side behind a person with a Blue Tie & Suit)? “

    ” Exhibits B1, B2, B3, B4, B5 – [All 5 Exhibits are taken from the Pentecostal Union 2019 Calendar]

    – Why does Exhibit B2, the Pentecostal Union Calendar of 2019, show a picture of ‘Marantha Church, Nampa, ID’ when clearly the Maranatha Romanian church belongs to the COG?

    – Why does Exhibit B3, the Pentecostal Union Calendar of 2019, show a picture with ‘Beni Iordanescu & Ioan Retegan’ and other people visiting Aron Stanciu at the hospital? (He has now passed away & we pray comfort over his family)

    – Why does Exhibit B4, the Pentecostal Union Calendar of 2019, AGAIN show on the Right Side ‘Idaho, Nampa – Maranatha Pentecostal Church’ being Affiliated & Associated with the Pentecostal Union when this church is CLEARLY a COG Church?

    – Why does Exhibit B5, the Pentecostal Union Calendar of 2019, show leaders ‘Beni Iordanescu & Ioan Retegan’ (a credentialed minister of the COG) at the ‘Pentecostal Union Conference 2018 – Conferinta Uniunii 2018’ (Left Upper Side) in Atlanta, Georgia? “

    ” Exhibits C1 and C2 (These items are located within the church itself)

    – Why is there a ‘Donation’ Box in the Maranatha COG Church with tithing/offering envelopes that have written on them “BETHEL ROMANIAN CHURCH” with the COG LOGO?

    – This is NOT right & contradictory since there is not a COG Church in Nampa, that I am aware of, with the name Bethel Romanian Church. “

    ” Exhibit D = Initial Filing of Articles of Incorporation of ‘Bethel Romanian Church, Corp. 12/16/2015 https://opencorporates.com/companies/us_id/C208104

    – Why was this legal church entity created on Dec. 16th, 2015 on Dorel Antimie’s personal home address of 9901 Salmon Ridge Pl. Nampa, ID 83686, with the same leaders that are also leading the COG church?

    – Is this not a Conflict of Interest? “

    ” Exhibit E1 & E2 = Annual Reports of Articles of Incorporation of ‘Bethel Romanian Church, Corp’

    – Exhibit E1 = Annual Report 1/18/2017

    – Exhibit E2 = Annual Report 12/25/2017 “

    ” Exhibit F = Warranty Deed March 19th-20th, 2018 from ‘Maranatha Romanian COG’ to ‘Bethel Romanian Church Corp’ which has same address as personal address of Dorel Antimie.

    – Did the same leaders of Maranatha COG sell the parcel of land to themselves in the ‘Bethel Romanian Church’ entity that they created & control?

    – Was this transaction unethical or questionable in any way?

    Was there a discounted price paid for by ‘Bethel Romanian Church’ to Maranatha COG that was below Appraisal Value? “

    ” Exhibit G = Nov. 15th, 2018 Planning & Zoning Staff Report – Bethel Romanian Church;…. Applicant = Viorel Botos

    – Is Bethel Romanian Church planning on rezoning & splitting the land so they can sell at higher prices and make more profits?

    – Are they then wanting to take the profits from their sale, purchase another parcel of land, and possibly build an independent church so they can leave the COG church? “

    Bethel Romanian Church Court Filings and Annual Reports revealing the agents and officers listed on the paperwork to be the same individuals as the leadership of the Maranatha Romanian Church of God, with dates that coincide with a time frame during which they were activating in their roles under Church of God International.

  • December 10, 2019 through April 8, 2020

    Context: In December of 2019, Abigail Teodorescu began to hear rumors that were circulating that she had allegedly kissed and made out with Marcus Antimie. She received news of this after church member, Adi Surducan, contacted her fiance, Jacob Retegan (the son of Ioan [Ionuc] Retegan, to inform him of his disapproval for his engagement to Abigail Teodorescu. Abigail contacted both Adi and Georgina Surducan (husband and wife) regarding the message Jacob had received. Georgina then proceeded to inform Abigail of the rumor in the form of an accusation.

    With her wedding to Jacob Retegan approaching in July 2020, she contacted Marcus Antimie to speak with him regarding the allegations made, and inquire whether or not he knew anything about them. Marcus confirmed they were untrue (solely for the eyes of those that accused Abigail). Marcus further stated he had not known or facilitated this information.

    On April 8, 2020, Ana Antimie (Vulcan) reached out to Abigail Teodorescu regarding prying messages she had just received from Andy Jack Dimbi. Andy was inquiring about Abigail, asking Ana to confirm rumors that he claimed to have heard about Abigail “making out with Marcus [Antimie]” and now being engaged to Jacob Retegan. Ana denied the allegations, as she knew they were not true. Marcus Antimie also denied these allegations, as well, as depicted. However, Andy would not allow himself to be deterred and continued pressuring Ana reveal anything she could to somehow create more strife, drama, and further dissension – in an effort to dig up anything he could use against the Teodorescu family (Ovidiu and Mihaela Teodorescu and their children).

  • March 31, 2019

    Context: Church of God Romanian Territory Office Bishop Tony Lane and Pastor Moise Gaode (Board Member of RTO) visit Maranatha Romanian Church of God in Nampa, Idaho and dissolve current leadership for proven findings of fraudulent activity. Church leaders removed as a result, include:

    Ioan (Ionuc) Retegan – Pastor

    Beniamin Iordanescu – Assistant Pastor

    Viorel Botos – Treasurer

    Dorel Antimie – Deacon

    Sorin Pica – Secretary

    …among other board members not listed.

    In the video/audio included, board members can be heard flagrantly denying the allegations made, after which a complete turn of events occurs. The board members can then be heard defending their actions, no longer claiming they did not commit them, but instead claiming they were not illegal, nor immoral in committing hundreds of thousands of dollars worth of fraud against the Church of God organization.

    __________________________________

    Situational context:

    The Maranatha Romanian Church of God’s leadership, including, but not limited to:

    – Pastor Ioan: (Ionuc) Retegan

    – Assistant Pastor Beni Iordanescu

    – Treasurer: Viorel Botos

    – Board Member: Petru Sandor

    – Deacon: Dorel Antimie

    – Secretary: Sorin Pica

    participated in a collective scheme to DEFRAUD the Church of God International organization under which they were serving.

    Maranatha Church of God owned a parcel of approximately five acres of land at the time, that was previously purchased under the former leadership, utilizing a loan from Church of God International. Church of God had assisted them in getting this parcel of land zoned commercially in order for them to be able to utilize it to construct a new church building. No ground was ever moved, and the zoning permits eventually expired after 10 years.

    Several years later, in an effort to break away from under the leadership of Church of God International, while maximizing their profits, the new leadership (Ionuc Retegan and his administration) devised a scheme to defraud the Church of God International organization.

    The individuals aforementioned had previously visited the government of the state of Idaho and opened a new church entity on December 16, 2015 (as documented in the organization’s Articles of Incorporation), under the name of Bethel Romanian Church. They listed the main address of the new entity as the home address of their deacon, Dorel Antimie. They also began depositing the tithe money accumulated within the Maranatha Romanian Church of God building into the Bethel Romanian Church bank fund (which they also subsequently opened).

    Several years later, after funds had accumulated in the Bethel Romanian Church fund, Ioan (Ionuc) Retegan and his peers reached out to Church of God to request permission to sell the property that Maranatha Church of God owned. Church of God approved this endeavor, unaware of their true intentions.

    After listing the parcel of land previously purchased by Maranatha Church of God (the entity they represented, which operates and is owned by the Church of God International umbrella) on the market, they sold the parcel to Bethel Romanian Church (themselves) on March 19, 2018. To achieve this, they listed other members of the congregation as the sellers (trustees) on the deed to the land: Marius Mateut, Daniel Stanciu, and Mihai Bistriceanu so as to not attract suspicion from Church of God International.

    Bethel Romanian Church then had Viorel Botos, the treasurer of Maranatha Romanian Church of God, file a rezoning request in November 2018, with the state for the parcel of land that had been “purchased” from Maranatha Church of God, with its own tithing money that had been deposited into Bethel Romanian Church over the years.

    Their intention was to rezone the property as residential, sell it as several parcels of land, and utilize the monetary value accumulated to break away from Church of God International, with the purpose of opening an independent location under Bethel Romanian Church (while defrauding Church of God International to achieve all of this).

    They succeeded in their endeavors until Andy Dimbi reported the incriminating evidence to the Romanian Territory Office of Church of God in December 2018. Bishop Tony Lane was also contacted by the title company who noticed the same individuals were selling the parcel of land to themselves. Andy Dimbi’s email was the “cherry-on-top” of all of the information they had already been given.

    Bishop Tony Lane and RTO Board Member Moise Gaode then paid a visit to Maranatha Church of God to confront and dissolve the leadership and church board for their actions. Ioan (Ionuc) Retegan and his cohorts flagrantly denied any wrongdoing, and stated they were not guilty of the actions they were being accused of. When confronted with the evidence, they changed their tune, beginning to assert that though they committed the actions they were accused of, they did not break the law, and were therefore justified.

    The now former leadership brainwashed the congregation into believing the Teodorescu family (Ovidiu & Mihaela Teodorescu) had worked behind the scenes to report them for their actions that were “justified” (in their eyes) for the Teodorescu family’s personal gain. This began a campaign of hatred, false allegations, misinformation, and slander against the Teodorescu family within the local community, including Ovidiu and Mihaela Teodorescu and all of their children.

    Eventually, these rumors and the slander that was being brought upon the Teodorescu family name broke state boundaries. The false narrative has been carried far and wide, with many believing it to be reality.

    All of the proof regarding the events that transpired, as well as the truth behind what actually took place can be found on this page. This includes but is not limited to all of the official documentation from the state, with exact dates as to when everything took place, proving this chain of events took place.

    It is high time, that once and for all, the truth be brought into the light.

  • February 26, 2019 through May 22, 2019

    Context: Message threads depict purposefully annoying and harrassing text messages sent from Andy Jack Dimbi to members of the local youth both before and after the leadership of the Maranatha Romanian Church of God leadership was dissolved, and Ioan (Ionuc) Retegan openly tore the congregation in two.

  • Date: May 22, 2019 through May 8th, 2020

    Context: Photos and videos depict text message conversation between Abigail Teodorescu (age 17) and Andy Jack Dimbi (age 30), who became hostile towards Abigail, over the course of time, as Abigail requested of him that he stop attacking the local youth. As depicted, Abigail requested kindly several times that he cease to use her name to attack and slander the youth of the prior leadership and church members that had left the Maranatha Romanian Church of God, to form Bethel Romanian Pentecostal Church, after fraud was discovered and the leadership was dissolved by Church of God. Andy Dimbi becomes hostile towards Abigail Teodorescu, even attacking her eventually, pestering with messages through late hours of the evening, even into very early morning (i.e. 4am).

  • January 6, 2019 through February 24, 2019

    Context: Andy Jack Dimbi began to reply and send messages inciting strife between the youth over what was taking place at the leadership level within the Maranatha Romanian Church of God regarding the fraud being committed by the leadership and church board, led by then pastor, Ioan (Ionuc) Retegan. While what the church leadership was committing was completely evil, and Andy was right to expose what was taking place, the youth were not at fault for their parent’s actions. Andy Dimbi’s actions in targeting (a majority of) minors was uncalled for and completely inappropriate.

  • September 8th, 2019


    Context: Before the start of the church service, Ovidiu Teodorescu received a phone call from the newly Church of God appointed pastor, Ionel Burzo, who was named church pastor two months prior, but had not come to officially take over the church. Ovidiu Teodorescu had prepared to speak that evening. At 5pm, when he received the phone call from Ionel Burzo, he was informed Andy Dimbi would be delivering the main message that evening, and in English. At the very start of the church service, seeing that no one in the congregation was primarily English-speaking, but several only understood Romanian, Ovidiu Teodorescu spoke with Andy Dimbi, and requested he preach in Romanian. Andy replied sarcastically, relating to Ovidiu that he was going to preach in English and did not need his translation services either. Andy Dimbi’s refusal then upset the elderly members of the congregation who were solely Romanian-speaking, as they were being denied understanding of the message for no reason, as there was no reason to deliver the sermon in English. Andy Dimbi began to preach and then proceeded to engage in a public argument with an elderly member of the congregation before continuing his message, belittling him in front of the congregation. The member was also upset as to why the current Pastor Ionel Burzo had appointed him to speak, as the congregation had voiced their concerns regarding Andy’s recent initiation of prying and inappropriate conversations with women and minor girls (from within the congregation) via text message. This member ultimately left. The video depicts this occurrence. The audio file attached also outlines a conversation/argument that occurred directly between Andy Dimbi and members of the youth immediately following the close of service. Youth members, including: Andrey Mudryak, Abigail Teodorescu, Ana Antimie (Vulcan), Ruth Teodorescu, & David Teodorescu were present at the time of the conversation. Andy Dimbi was attempting to speak privately with select members of the youth to sway their opinion on the events that took place between himself and the elderly member of the church, Vasile Vulcan (grandfather of Ana Antimie [Vulcan]) who has since passed away). Ana and Andrey both eventually refused to speak to him privately after realizing his intent was to exclude Abigail from the conversation, and the youth collectively expressed their disgust for what took place and for his unwillingness to accommodate his audience, as the main point of speaking to a congregation was to have them garner Biblical knowledge. A vast majority of the congregation that evening had not understood his message as the whole gathering was Romanian-speaking, while only a handful spoke/understood the English language

  • August 26, 2019

    Context: Audio features Andy Dimbi, Abigail Teodorescu, Marcus Antimie, Ana Antimie (Vulcan), Grace Teodorescu. Abigail Teodorescu (age 17) had been asked to oversee janitorial services at Maranatha Romanian Church of God, Nampa, Idaho. Andy Dimbi was allowed to assist until his messages and behavior towards Abigail became hostile. The church members agreed it best that, he as an older man, not be allowed to be at the church alone with a minor while she cleaned, given the other circumstances regarding how Andy Dimbi was behaving towards Abigail outside of the church setting. Andy Dimbi was passing by the building when he noticed Abigail’s car and stopped in to request the church/shed keys, under the guise that he had gotten approval from the pastor and Abigail’s father, Ovidiu Teodorescu, for this request. Both of these claims proved to be false. Abigail Teodorescu, Ana Antimie (Vulcan), & Marcus Antimie can be heard requesting that Andy leave, attempting numerous times to end the conversation, to which Andy Dimbi would refuse as he danced around the subject and continue pressuring Abigail Teodorescu, making remarks about her and Marcus being together, in hopes she would give in. Andy Dimbi had previously been completing landscaping tasks, which were entrusted to another individual attending the church, who was working to accumulate community service hours by servicing the church, following the decision of the church members’ regarding Andy Dimbi.

  • May 13, 2019

    Context: Andy Dimbi references dresses that his mother, Ana Dimbi, purchased for Abigail Teodorescu, age 17, daughter of Ovidiu Teodorescu.

    Context: Andy Dimbi messages Abigail Teodorescu regarding dresses Ana Dimbi had purchased for her. He states his mother hid them away in his closet [as she did not want her husband to be aware of the purchases]. Andy sends a picture of the tag from one of the dresses to Abigail, stating he would like to down a sexy dress alongside her in church, and “pray, sing, dance and twirl around in our sexy dresses and say the Holy Spirit came upon us like David…” Andy then forwards a picture of himself posing with said dress in front of a mirror with the message, “Girl, I look so pretty but sighs, I’m not as slim, righteous, sexy, and holy like you [emoji] did you say [you] were going to workout this summer??…”